高等数学公式总结
知识问答小编
0次浏览
2022-10-25 17:41:54
最佳经验
本文由作者推荐
详细内容
- 01
极限
- 02
等价无穷小的替换
当x趋近于0时,等价无穷小可以互相变换,乘除法可以变换,加减法一般不可以变换。
- 03
求导公式
有一些导数总喜欢成双成对的出现,例如,三角函数,反三角函数。
- 04
常用的初等函数的n 阶导数公式
- 05
基本积分表
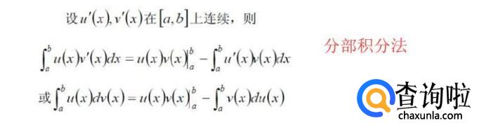
- 06
定积分的换元积分法与分部积分法
- 07
定积分的特殊性质

特别提示
总结还会持续更新,希望可以帮助到大家。